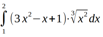
#epistemUnmoderated tagAll PostsTrending TagsExplore CommunitiesCurators CommunityEcoerBlurt SpaceBlurt PakistanBlurt LifeStyleBlurt Open Circle ⭕Dev on BlurtBlurtconnectTwiggyPhotography LoversBlurt Investing CommBilpcoin#epistemTrendingHotNewMutedPayoutieronimus in # blurtart • 23 hours ago • 5 min readDreams and Streams"Dreams and Streams", a special song for usozelot47 memberin Curators Community • 2 days ago • 1 min readDas bestimmte Integral (Integralrechnung)Die Integralrechnung ist das Gegenstück zur Differentialrechnung und wird verwendet, um eine Fläche zwischen zwei Funktionen oder eine Fläche zwischen einer Funktion und x-Achse zu berechnen. Um…ieronimus in # blurtart • 2 days ago • 5 min readNo More Sleight of Hand"No More Sleight of Hand", a special song for usieronimus in # blurtart • 3 days ago • 5 min readMaze of Numbers"Deep Maze of Numbers", a special song for usieronimus in # blurtart • 4 days ago • 5 min readFading Echoes"Fading Echoes", a special song for usieronimus in # blurtart • 5 days ago • 5 min readTrust No One But The Code"Trust No One But The Code", a special song for usieronimus in # blurtart • 6 days ago • 5 min readGold Glows in the Night"Gold Glows in the Night", a special song for usieronimus in # blurtart • 7 days ago • 5 min readEncrypted Heart"Your Heart's Encrypted", a special song for us